মূল লেখক:shtanga0x&securezer0
সংকলন | Odaily স্টার ডেইলি (@OdailyChina)
অনুবাদক | Wenser (@wenser2010)

সম্পাদকীয় নোট: সাম্প্রতিক সময়ে, X প্ল্যাটফর্মের টাইমলাইনে Polymarket-এর NCAA "ফ্যান্টাসি মার্চ" এর জন্য LP ইনসেন্টিভ সংক্রান্ত পোস্টগুলি প্রায় সবকিছু জুড়ে দিয়েছে। একই সময়ে, Polymarket-এর অফিসিয়াল সদস্যরা পরবর্তী সোমবার একটি বড় ঘোষণা করার কথা বলেছেন, যার কথা সম্প্রদায় বিনিয়োগ বা টোকেন লঞ্চের সঙ্গে সম্পর্কিত হতে পারে।
এমএসইসি এবং সিএফটিসি পাঁচটি ভোটের মাধ্যমে ক্রিপ্টো প্ল্যাটফর্মের এয়ারড্রপ বাধা দূর করার পর, POLY অসংখ্যের চোখে "শেষ লুমাওয়ার আশা" হয়ে উঠেছে, এবং এলপি মার্কেট মেকিং হতে পারে এয়ারড্রপের একটি কী সূচক।
এই বিষয়ে, Odaily প্ল্যানেট ডেইলি ২ জন বিশ্লেষকের LP মার্কেট মেকিং প্রলোভন সম্পর্কিত পক্ষপাতদুষ্ট ও বিপক্ষ মতামতের ভিত্তিতে Polymarket ব্যবহারকারীদের জন্য একটি সম্পূর্ণতর দৃষ্টিভঙ্গি প্রদান করবে। নিচে সংকলিত বিষয়বস্তু, যার কিছু তথ্য সংক্ষিপ্ত করা হয়েছে।
সকার দৃষ্টিকোণ: Polymarket LP ইনসেন্টিভ প্রোগ্রামের পিছনে 4টি শ্রেণীবিভাগ
সাম্প্রতিক সময়ে, পলিমার্কেটের ইনসেন্টিভ মেকানিজম একটি নীরব আপগ্রেড পেয়েছে, যার ফোকাস এখন লিকুইডিটি প্রোভাইডারদের (LP) দিকে সরে গেছে। গত কয়েক বছর ধরে, এই প্ল্যাটফর্ম “শূন্য ট্রেডিং ফি” কৌশল অনুসরণ করেছে, কিন্তু এই বছরের শুরু থেকে, এটি নির্দিষ্ট বেটিং ইভেন্টগুলির জন্য ফি চালু করেছে এবং দুটি মার্কেট-মেকার পুরস্কার প্রোগ্রামও চালু করেছে।
প্রতীয়মানভাবে, ট্রেডিং ফি আদায় ট্রেডারদের জন্য অনুকূল নয় বলে মনে হতে পারে, কিন্তু বাস্তবে, এটি প্রেডিকশন মার্কেটের সবচেয়ে মৌলিক কাঠামোগত চ্যালেঞ্জ—তরলতা সমস্যা—সমাধান করছে।
নতুন ফি কাঠামোটি প্রেরিত লিমিট অর্ডার প্রদান করে এবং অর্ডার বুকের গভীরতা বজায় রাখে এমন ব্যবহারকারীদের প্রোত্সাহন প্রকল্পগুলির জন্য অর্থায়নের উদ্দেশ্যে তৈরি করা হয়েছে। ফলে, Polymarket এবং এর ব্যবহারকারীরা উভয়ই লাভবান: সংকীর্ণতর স্প্রেড, সমৃদ্ধিতর অর্ডার বুক এবং বিশেষ করে হাই-ফ্রিকোয়েন্সি ক্রিপ্টো মার্কেটগুলিতে উন্নত ট্রেডিং অভিজ্ঞতা।
এবং এর প্রভাব পথটিও অত্যন্ত স্পষ্ট, একক থেকে বহুগুণের দিকে প্রবণতা প্রদর্শন করে:
- জানুয়ারি 2026: 15 মিনিট ক্রিপ্টো মার্কেট
- ২০২৬ সালের ফেব্রুয়ারি: ৫ মিনিট ক্রিপ্টো মার্কেট + NCAAB কলেজ বাস্কেটবল + সেরিয়ে আ লিগ
- ২০২৬ সালের ৬ মার্চ: সমস্ত ক্রিপ্টো মার্কেটে বিস্তার (1H, 4H, দিনগত, সপ্তাহগত ইত্যাদি ইভেন্ট সহ)
উপরের তথ্যের ভিত্তিতে, এই প্রবন্ধটি নতুন ফি এবং পুরস্কার ব্যবস্থা কিভাবে কাজ করে তা বিস্তারিতভাবে ব্যাখ্যা করবে—এবং কেন প্রদানকৃত ফি + অর্জিত পুরস্কার POLY এয়ারড্রপের সম্ভাব্য অ্যান্টি-সিফিং ইন্ডিকেটর হতে পারে। এটি শুধুমাত্র মুদ্রায়নের কাজ নয়, বরং Polymarket সক্রিয়ভাবে বলছে যে এটি আসলে মাত্রা-বৃদ্ধির রোবটগুলির পরিবর্তে তরলতা চায়।
পার্ট I. নতুন অর্ডার ক্রয় শুল্ক ব্যবস্থা সম্পূর্ণ বিশ্লেষণ
পোলিমার্কেটের অধিকাংশ মার্কেট এখনও সম্পূর্ণরূপে বিনামূল্যে। জমা, তুলে নেওয়া এবং ট্রেডিং (অধিকাংশ ইভেন্ট মার্কেট) এখনও প্ল্যাটফর্ম ফি ছাড়া।
ট্রেডিং ফি বর্তমানে শুধুমাত্র গ্রহীতা (taker order) পক্ষের জন্য প্রযোজ্য, যা তিনটি মার্কেটকে কভার করে:
- সমস্ত ক্রিপ্টো বৃদ্ধি-হ্রাস মার্কেট (15মিনিট, 5মিনিট, 1H, 4H, দিন, সপ্তাহ ইত্যাদি)
- NCAAB (আমেরিকান কলেজ বাস্কেটবল লিগ)
- সিরিয়া এ (ইতালিয়ান ফুটবল)
মূল বিষয় হলো, বিলোষ্ট শুল্ক কেবলমাত্র শুল্ক সক্রিয়করণ তারিখের পরে তৈরি করা বাজারগুলিতে প্রযোজ্য, এবং এর আগের সমস্ত বেটিং ইভেন্টগুলি অপ্রভাবিত থাকবে।
খরচ সূত্র এককৃত করা হয়েছে (যেখানে, C = ট্রেডিং চিপের পরিমাণ, p = চিপের দাম/বাজার সম্ভাবনা, খরচকে ৪ দশমিক স্থান পর্যন্ত গোল করা হবে, সর্বনিম্ন খরচ ০.০০০১ USDC):

প্রাসঙ্গিক ফি হার সমমিত সম্ভাব্যতা বক্ররেখা অনুসরণ করে:
- সম্ভাবনা 50% এর কাছাকাছি (সর্বোচ্চ অনিশ্চয়তা সহ) সময়, ফি সর্বোচ্চ;
- যখন সম্ভাবনা 0 বা 1-এর কাছাকাছি হয় (ফলাফলের নিশ্চিততা বেশি), তখন ফি প্রায় 0 হয়।
উদাহরণস্বরূপ, 100 ডলারের একটি ক্রিপ্টো মার্কেট ট্রেডের ক্ষেত্রে,
- p=0.50 → ট্রেডিং ফি (fee) প্রায় 0.44 ডলার;
- p=0.10 বা 0.90 → ট্রেডিং ফি (fee) প্রায় 0.02 ডলার।
স্পোর্টস ইভেন্টের সম্ভাব্যতা বক্ররেখার মতো, কিন্তু মধ্যবিন্দু (প্রায় 50% সম্ভাব্যতা) খরচ কিছুটা বেশি, চার্জের দিকটি নিম্নরূপ:
- ক্রয়: খরচ চিপ শেয়ার থেকে কাটা হবে;
- বিক্রয়: খরচ USDC ফান্ড থেকে কাটা হবে;
- মার্কেট মেকিং ইনসেন্টিভ ইউএসডিসি হিসাবে প্রদান করা হয়।
উল্লেখযোগ্য যে, Polymarket প্ল্যাটফর্ম সমস্ত ফি পুল ধারণ করে না, ফিক্সড অনুপাতের হ্যান্ডলিং ফি (ক্রিপ্টো মার্কেটের জন্য 20%, স্পোর্টস বেটিং ইভেন্টের জন্য 25%) সরাসরি LP-এর কাছে ফেরত দেওয়া হয়। (নোট: Polymarket যুক্তরাষ্ট্রের কমপ্লায়েন্স প্ল্যাটফর্ম 0.01% ফিক্সড ফি ব্যবহার করে। এই বিশ্লেষণটি কেবলমাত্র 2026 সালে নতুন ফি সিস্টেম চালু করা গ্লোবাল CLOB প্ল্যাটফর্মকে নিয়ে আলোচনা করে।)
অংশ II. মার্কেট মেকার ইনসেন্টিভ প্রোগ্রাম (লিমিট অর্ডার এক্সিকিউশন বোনাস)
এই প্রোগ্রামের ইনসেন্টিভ শুধুমাত্র কিনে নেওয়া অর্ডার ফি সংগ্রহকারী মার্কেটগুলিকে কভার করে। এর অর্থ হলো, শুধুমাত্র ট্রেডারদ্বারা ক্রয় করা লিমিট অর্ডারগুলিই সংশ্লিষ্ট পুরস্কার পাবে, শুধুমাত্র লিস্ট করা অর্ডারগুলি যেগুলি ক্রয়-বিক্রয় হয়নি, তাদের জন্য পুরস্কার প্রযোজ্য নয়।
পুরস্কারের পরিমাণ গণনা করা হয় অর্ডার করা খরচের সমান পদ্ধতিতে। প্রতিটি অংশগ্রহণকারীর পুরস্কার তাদের ট্রেডিং আয়তনের সাথে সমানুপাতিক, যা সংগ্রহ করা খরচের একটি অংশ দ্বারা গঠিত (ক্রিপ্টো মার্কেটের ২০% এবং স্পোর্টস বেটিং ইভেন্টের ২৫%)।
শুধুমাত্র নির্দিষ্ট বেটিং ইভেন্টগুলিতে প্রতিযোগিতা হয়, এবং এলপি অর্ডারগুলি শুধুমাত্র একই লিকুইডিটি পুলের অন্যান্য এলপি-দের সাথে প্রতিযোগিতা করে।
প্রতিদিনের প্রেরণা USDC দিয়ে সরাসরি সংশ্লিষ্ট ওয়ালেট ঠিকানায় প্রেরণ করা হয়।
অধ্যায় III. তরলতা উৎসাহ (অব্যবহৃত অর্ডার উৎসাহ)
দ্বিতীয় প্রেরণা ব্যবস্থাটি Polymarket প্ল্যাটফর্ম দ্বারা প্রদান করা হয়, যা সমস্ত বেটিং ইভেন্টের (যেমন কোনো ফি নেওয়া হয় না এমন বেটিং ইভেন্ট) জন্য প্রযোজ্য।
মূল পার্থক্য হল: অর্ডার কার্যকর হওয়ার প্রয়োজন নেই, শুধু অর্ডার বুকে লিস্ট করে তরলতা প্রদান করলেই আয় হয়।
প্রতিটি বেটিং ইভেন্ট যোগ্যতা নির্ধারণের জন্য কিছু প্যারামিটার সংজ্ঞায়িত করে:
- সর্বাধিক উৎসাহী প্রসার (যেমন ±4 সেন্ট)
- ন্যূনতম অর্ডার পরিমাণ
- দৈনিক মোট পুরস্কার পুল
প্ল্যাটফর্ম প্রতি মিনিটে অর্ডার বুক স্যাম্পল নেয় এবং এক সপ্তাহে 10080টি স্ন্যাপশট রেকর্ড করে।
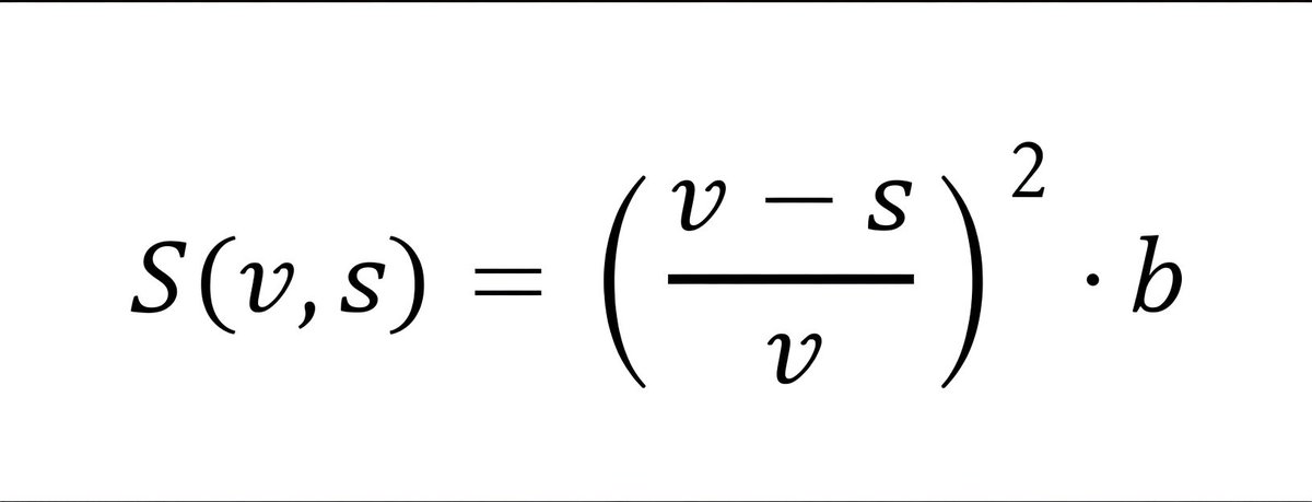
পুরস্কার গণনার সূত্রের অত্যন্ত বিস্তারিত বিবরণ:
1. দূরত্ব স্কোর (দ্বিঘাত সমীকরণ)
যার মধ্যে
ভি - সর্বাধিক উৎসাহী ব্যবধান
s - মধ্যবিন্দু থেকে দূরত্ব
অর্ডার স্কোর মধ্যবর্তী বিন্দুর কাছাকাছি যাওয়ার সাথে সাথে সূচকীয়ভাবে বৃদ্ধি পায়।

2. দ্বিপাক্ষিক স্কোর (YES/NO পরস্পরপূরক কাঠামো)
বিড এবং অফার অর্ডার যথাক্রমে স্কোর গণনা করা হয়, যা হ্যাঁ/না মার্কেটের পরিপূরক কাঠামোকে বিবেচনা করে।

3. কিউ মান ন্যূনতমকরণ সামঞ্জস্য
অর্ডার বুকের দুই প্রান্তে তরলতা প্রদান করার জন্য বেটিং ইভেন্টে বেশি স্কোর পাবেন।
যদি বাজারের সম্ভাবনা 0 বা 1-এর কাছাকাছি না হয়, তবে একপাশের বিল্ডিংয়ের জন্য শাস্তি দেওয়া হবে।

4. চূড়ান্ত স্কোর
সমস্ত এলপি স্কোর নরমালাইজড হবে এবং সময়ের সাথে সংকলিত হবে যাতে প্রতিটি অংশগ্রহণকারীর মার্কেট রিওয়ার্ড পুলে অনুপাতিক অংশ নির্ধারণ করা যায়।
USDC পুরস্কার UTC মধ্যরাতে প্রদান করা হবে, সর্বনিম্ন 1 ডলার পর্যন্ত।

বর্তমানে সক্রিয় পুরস্কার বেটিং ইভেন্ট এবং ব্যক্তিগত আয় দেখতে পারবেন polymarket.com/rewards-এ Polymarket অফিসিয়াল ডকুমেন্টেশন।
বর্তমানে, একদিকের অর্ডারগুলি এখনও পয়েন্ট অর্জন করতে পারে (তবে ব্যাপকভাবে কমিয়ে দেওয়া হয়), যখন দ্বিদিকের বিডিংগুলি প্রাধান্য পায়। পুরস্কারগুলি প্রতিটি আলাদা বেটিং ইভেন্টের জন্য আলাদাভাবে গণনা করা হয়। ইভেন্টগুলির মধ্যে গণনা করা হয় না। বাস্তবে, এই সিস্টেমটি বাজারের মধ্যবর্তী বিন্দুর কাছাকাছি সংকীর্ণ স্প্রেড এবং ভারসাম্যপূর্ণ তরলতা বজায় রাখে এমন ট্রেডারদের পুরস্কৃত করে, যা সমস্ত ব্যবহারকারীদের ট্রেডিং অভিজ্ঞতা উন্নত করে।
অধ্যায় IV. এলপি উৎসাহিতকরণ স্পনসরশিপ
তৃতীয় পদ্ধতিতে, যে কেউ সরাসরি USDC ব্যবহার করে নির্দিষ্ট বাজারের জন্য LP উৎসাহ প্রদান করতে পারেন, যাতে LP-রা মার্কেট মেকিংয়ের জন্য আকৃষ্ট হয়। স্পনসররা যেকোনো সময় তাদের অর্থ যোগ বা তুলে নিতে পারেন, এবং ব্যবহৃত না হওয়া অর্থটি স্বয়ংক্রিয়ভাবে ফিরে যাবে।
এই মেকানিজমের নিয়ম এবং তরলতা উৎসাহ প্রকল্প সম্পূর্ণরূপে সামঞ্জস্যপূর্ণ—শুধুমাত্র অর্ডার দিন, ট্রেড হওয়ার প্রয়োজন নেই।

একটি প্রতিনিধিত্বমূলক উদাহরণ হল “যিশু খ্রিস্ট ২০২৭ এর আগে ফিরে আসবেন কি?” এই বেটিং ইভেন্ট, যেখানে একটি প্ল্যাটফর্মের ব্যবহারকারী ২ মাসে ৭০,০০০ ডলার এলপি ইনসেন্টিভ হিসাবে বিনিয়োগ করেছিলেন, এখন প্রতিদিন প্রায় ৫৭ ডলার লিকুইডিটি ইনসেন্টিভ পাচ্ছেন, যা এই ইভেন্টকে প্ল্যাটফর্মের সবচেয়ে গভীর বেটিং ইভেন্টগুলির মধ্যে একটি হয়ে তুলেছে। এই মেকানিজমটি সম্প্রদায়কে সক্ষম করেছে যাতে তারা নিজেরাই যেকোনো বেটিং ইভেন্টের মার্কেট লিকুইডিটি গভীরভাবে সক্রিয় করতে পারে, polymarket-এর অফিসিয়াল হস্তক্ষেপের অপেক্ষা করতে হয়না।
পার্ট V. POLY এয়ারড্রপের সর্বশ্রেষ্ঠ অ্যান্টি-সোফিস্টিকেশন মেট্রিক
প্রথম দৃষ্টিতে, পলিমার্কেট মনে হচ্ছে শুধু আরও বেশি ট্রেডারের প্রয়োজন।
তবে, যদি বেশিরভাগ ব্যবহারকারী শুধুমাত্র বাজার ক্রয় আদেশের উপর নির্ভর করে, তাহলে প্ল্যাটফর্মটি শীঘ্রই তরলতা সমস্যার সম্মুখীন হবে।
পলিমার্কেট কেন্দ্রীয় মার্কেট মেকারের উপর নির্ভর করে না, তাই যদি লিমিট অর্ডারের অভাব হয়, তবে অর্ডার বুকটি দুর্বল হয়ে যায়।
এই পরিস্থিতিতে, ক্রয়, বিক্রয় বা বড় অর্ডার সম্পাদনের সময় অত্যধিক স্লিপেজ এবং হাই ফি এড়ানো কঠিন।
পলিমার্কেটকে বট দিয়ে ট্রেড বাড়ানোর প্রয়োজন নেই, এটি সত্যিকারের মূল্য প্রদানকারী এলপি চায়।
পূর্বে সবাই শুধু ট্রেডিং ভলিউম বাড়ানোর দিকে মনোযোগ দিত, মনে করত যে ট্রেডিং ভলিউম বেশি হলেই এয়ারড্রপ পাওয়ার চাবিকাঠি। কিন্তু নতুন ফি কাঠামো এবং পুরস্কার পরিকল্পনা একটি ভিন্ন প্রণোদনা মডেলের ইঙ্গিত দেয়—শুধু ট্রেডিং ভলিউমই নয়, বরং ফি উৎপাদনকারী এবং তরলতা প্রয়োজনীয় স্টেকিং ইভেন্টগুলিতে অংশগ্রহণই গুরুত্বপূর্ণ। অন্যভাবে বললে, প্ল্যাটফর্মটি শুধুমাত্র প্যাসিভ লিমিট অর্ডারগুলির জন্য নয়, বরং লক্ষ্যযুক্ত LP-দেরকেই পুরস্কৃত করে।

পুরস্কার বণ্টন সূত্রটি পলিমার্কেট যে ধরনের তরলতাকে সবচেয়ে বেশি মূল্য দেয় তা প্রকাশ করে। স্কোরিং সিস্টেম মূল্যায়ন করে:
- অর্ডার এবং মধ্যবর্তী বিন্দুর কাছাকাছি হওয়া
- অর্ডার সাইজ
- বিক্রয় ও ক্রয় মূল্যের মধ্যে ভারসাম্য
অতএব, পুরস্কার হল ট্রেডারদের তরলতা প্ল্যাটফর্মের মূল্যের জন্য কতটা গুরুত্বপূর্ণ তা পরিমাপের একটি সরাসরি পদ্ধতি। যদি ট্রেডাররা নিয়মিত পুরস্কার পায়, তাহলে এটি বোঝায় যে তাদের অর্ডারগুলি বাজারের তরলতা এবং কার্যক্ষমতা উন্নত করছে। নিচে বাজারের অংশগ্রহণকারীদের জন্য সম্ভাব্য প্রণোদনার উদাহরণ দেওয়া হল:
- এই শীতকালে আর্কটিক বরফের ক্ষেত্রফল সর্বোচ্চ পর্যায়ে পৌঁছাবে কি?—— 3 মাস ধরে বিদ্যমান, $20,000 এর কম ট্রেডিং ভলিউম, কেবল $9 এর লিকুইডিটি পুরস্কার;
- কি বিটকয়েন মার্চে 75,000 ডলার পৌঁছাবে?—— দুই সপ্তাহ ধরে বিদ্যমান, 3 মিলিয়ন ডলার ট্রেডিং ভলিউম এবং 142 ডলার লিকুইডিটি পুরস্কার সহ;
- বিটকয়েন পরিবর্তন - 15 মিনিট —— শত শত বেটিং ইভেন্ট কভার করে, দৈনিক ট্রেডিং ভলিউম মিলিয়ন ডলার, দৈনিক গড় ফি প্রায় 10,000 ডলার, লিকুইডিটি পুরস্কার 2,000 ডলার।
ঠিক কোন বেটিং ইভেন্টের উপর নির্ভর করে না, ডেটা যা প্রকাশ করে তা আরও গুরুত্বপূর্ণ—সাধারণ ট্রেডিং ভলিউম ইন্ডিকেটরের তুলনায়, ফিল ফি এবং প্রাপ্ত লিকুইডিটি রিওয়ার্ড ম্যানুয়ালি ম্যানিপুলেট করা কঠিন। মার্কেট-মেকিং ইনসেন্টিভ ব্যবস্থাগতভাবে অর্জন করতে হলে ফান্ড, রিস্ক ম্যানেজমেন্ট এবং নিরবচ্ছিন্নভাবে মার্কেটে থাকা প্রয়োজন, যা ফ্ল্যাশ-ক্রলারদের সুবিধা ব্যাপকভাবে কমিয়ে দেয় এবং প্রকৃত মার্কেট পার্টিসিপ্যান্টদের জন্য সুবিধা তৈরি করে।
উপসংহার: বিলি ফি এবং এলপি প্রলোভন হতে পারে পলি এয়ারড্রপের মূল সূচক
ভবিষ্যতের POLY টোকেন বণ্টন শুধুমাত্র ট্রেডিং আয়তনের উপর নির্ভর করবে না, বরং সম্ভাব্যতঃ প্রদানকৃত মার্কেট ফি এবং প্রাপ্ত LP পুরস্কারের উপর নির্ভর করবে। এই মাপদণ্ডগুলি স্বচ্ছ, পরিমাপযোগ্য এবং প্ল্যাটফর্মের চাহিদার সাথে উচ্চ মাত্রায় সঙ্গতিপূর্ণ। এই মডেলে, পুরস্কারগুলি কৃত্রিম ট্রেডিং আয়তনের সাথে সম্পর্কিত নয়, বরং প্ল্যাটফর্মের ট্রেডিং অভিজ্ঞতা উন্নত করার বাস্তব অবদানের সাথে সম্পর্কিত: তরলতা, স্থিতিশীলতা এবং দক্ষ মূল্যনির্ধারণ।
অর্থাৎ, সর্বোত্তম পারফর্ম করা LP-ই হল সবচেয়ে বেশি মূল্যবান ব্যবহারকারী। সবচেয়ে কঠোর Polymarket ব্যবহারকারীরা কখনও সর্বোচ্চ ট্রেডিং ভলিউম তৈরি করা ব্যক্তি নয়, বরং অর্ডার বুকের তরলতা সবচেয়ে বেশি গভীর করে তোলা LP।
পলিমার্কেট এলপি মার্কেট মেকিং গাইড: 《এখনই পলিমার্কেটের সাথে ইন্টারঅ্যাক্ট করার সেরা সময় (এক্সক্লুসিভ টিউটোরিয়াল গাইড সহ)》
অবশ্যই, বাজারে সবসময় বিভিন্ন মতামত থাকে, কেউ কেউ মনে করেন যে Polymarket-এর এলপি ইনসেন্টিভ প্রোগ্রামটি দেখতে একটি “পানি ছিটিয়ে তরলতা আকর্ষণ” এর মতো, কিন্তু বাস্তবে এটি লাভের জন্য, এলপি ব্যবহারকারীদের জন্য একটি ফাঁদ। আসুন বিপরীত মতামতটি শুনি।
বিপরীত মত: পলিমার্কেট এলপি উৎসাহ কি প্ল্যাটফর্মের একটি ঠকামি? এলপি কি "টাকা নিয়ে ক্ষতি" এর জাল?
পলিমার্কেটের সাম্প্রতিক লিকুইডিটি প্রোভাইডার ইনসেন্টিভ প্রোগ্রামের প্রতি, আর্বিট্রেজ ট্রেডার এবং পলিমার্কেট/ক্যালশি বট ব্যবহারকারী securezer0 বর্তমানে সম্প্রদায়ের অনেক KOL-এর দ্বারা প্রচারিত “পলিমার্কেট রিওয়ার্ডস ফার্মিং”কে একটি বিশাল মনস্তাত্ত্বিক যুদ্ধ হিসেবে চিহ্নিত করেছেন, যা প্ল্যাটফর্ম দ্বারা সরাসরি পেমেন্ট বা গভীরভাবে ইনসেন্টিভকৃত KOL-দের দ্বারা তৈরি একটি সমষ্টিগত প্রচারণা।
এলপি-এর সত্য: এক ধরনের "পেমেন্ট করে ক্ষতি"?
অনেক এলপি স্পষ্টভাবে বলেছেন: বর্তমানে পলিমার্কেটের এলপি মেকানিজম মূলত "খরচ করে ক্ষতি করা"।
কী সমস্যা? র্যাঙ্কিংয়ে এলপি পুরস্কার সরাসরি লাভ-ক্ষতি ডেটাতে যোগ করা হয়, কিন্তু একটি গুরুত্বপূর্ণ ধারণা—এলপি প্রসেসিং—এর কথা একটিও উল্লেখ করা হয়নি।
যখন আপনার পজিশন একপাশে ক্রয়-বিক্রয় হয়, তখন প্রায়শই যুক্তিসঙ্গত দামে বিক্রি করা যায় না, অথবা ইভেন্টের ফলাফল নির্ধারণের আগেই বিক্রি করা সম্ভব হয় না—এই বিনিয়োগের ক্ষতি প্ল্যাটফর্ম সিস্টেম্যাটিকভাবে লুকিয়ে রাখে। প্রকৃত ROI ডেটা বইয়ের সংখ্যার চেয়ে অনেক কম, এবং বেশিরভাগ LP অংশগ্রহণকারীদের জন্য, আসলে লাভ ঋণাত্মক। তারা শুধুমাত্র বিশ্বাস করে যে POLY এয়ারড্রপ ক্ষতি পূরণ করবে—এটি একটি আরবিট্রেজ ইনসেন্টিভ প্ল্যান নয়, বরং একটি প্ল্যাটফর্ম-ভিত্তিক বিশ্বাস-ভিত্তিক ট্রেডিং।
পেশাদার মার্কেট মেকাররা কেন প্রবেশ করতে চায় না?
প্রফেশনাল মার্কেট মেকাররা পলিমার্কেট এলপি-এর জন্য মার্কেট মেকিং এড়িয়ে চলে, এর মূল কারণ একটিই: অন্তর্নিহিত ট্রেডিংয়ের ঝুঁকি বাস্তবিক।
পলিমার্কেট এবং ক্যালশি উভয়ই পেশাদার মার্কেট মেকারদের টেবিলে বসতে প্রেরণ করতে লিকুইডিটির জন্য শেয়ার হোল্ডিংয়ের বিনিময়ে নিতে বাধ্য হয়েছিল—যা নিজেই সমস্যার কথা বলে।
একটি কার্যকরী এলপি অপারেশন হল অত্যন্ত জটিল একটি অটোমেশনযুক্ত রিস্ক ম্যানেজমেন্ট সিস্টেম। "কম বাধা, উচ্চ রিটার্ন" এই এলপি মিথ শুধুমাত্র Polymarket-এর তরফ থেকে লিকুইডিটি পুরস্কারের জন্য দীর্ঘমেয়াদি ভারী সাবসিডি প্রদানের শর্তেই বিদ্যমান — কিন্তু এই পথটি দীর্ঘমেয়াদে সম্পূর্ণভাবে অস্থায়ী।
প্ল্যাটফর্মের প্রকৃত সমস্যা: প্রতিদিন লক্ষ লক্ষ ডলার হঠাৎ করে “তৈরি” করতে হয়
অপর্যাপ্ত তরলতা হল পলিমার্কেটের ধাপে ধাপে চার্জ সুইচ চালু করার প্রথম প্রধান কারণ।
বিভিন্ন বেটিং ইভেন্টের লিকুইডিটি পুরস্কার বজায় রাখতে এবং বেশি USDC লিকুইডিটি প্ল্যাটফর্মে রাখতে, পলিমার্কেট প্রতিদিন ট্রেডিং ডেপথ বজায় রাখতে কয়েক মিলিয়ন ডলার ব্যয় করে। যদি কোনও ভালো সমাধান না পাওয়া যায়, তবে প্ল্যাটফর্মের জন্য প্রতিটি ক্রয় ও বিক্রয়ের জন্য ফি আদায় করা ছাড়া অন্য কোনও বিকল্প নেই, যাতে এই আয়ের মাধ্যমে বিনিয়োগকারীদের এবং মার্কেট-মেকারদের সমর্থন করা যায়।
কিন্তু যখন সম্পূর্ণ কমিশন প্রয়োগ করা হবে, তখন সাধারণ ব্যবহারকারীদের অবস্থা অত্যন্ত বিপর্যস্ত হয়ে যাবে—কারণ এক্ষেত্রে, পারম্পরিক স্পোর্টস বেটিং প্ল্যাটফর্মগুলি হয়তো বেশি লাভজনক হবে, কারণ:
- প্রতিটি ফি সমন্বয়ের পর অড সমান;
- প্রাচীন প্ল্যাটফর্মগুলিতে রিবেট এবং নগদ প্রলোভন রয়েছে;
- নিয়ম স্পষ্ট, নিয়ন্ত্রিত সুরক্ষায় রক্ষিত;
- অন্তর্নিহিত ব্যবহারকারীদের অ্যাকাউন্ট বন্ধ করা হতে পারে এবং কারাবাসের ঝুঁকি থাকতে পারে।
সত্যিকারের কার্যকরী 3টি সমাধান: স্থির হাতে ফি, POLY তরলতা পুল, পণ্য শুল্ক বিস্তার
বিষ পান করে ক্ষুধা মেটানোর পরিবর্তে মূল থেকেই হস্তক্ষেপ করুন: ব্যবহারকারীদের থেকে নয়, শোষকদের বিরুদ্ধে কাজ করুন। বাস্তব ব্যবহারকারীদের থেকে USDC টানছে এমন আর্বিট্রেজ রোবটগুলির জন্য ফি আরোপ করুন। কারণ, এই রোবটগুলিই তরলতার দূষণের মূল কারণ। বিশদভাবে, নিম্নলিখিত পদ্ধতিগুলি রয়েছে:
শুধুমাত্র লাভের উপর 1% ফিক্সড ফি প্রয়োগ করা হয়, অর্থাৎ মূলধন বাদ দিয়ে বিক্রয় মূল্যের শুদ্ধ লাভের উপর ফি নেওয়া হয়, মূলধনকে স্পর্শ করা হয় না এবং ব্যবহারকারীর ট্রেডিং অভিজ্ঞতাকে ক্ষতি করা হয় না।
POLY টোকেন ব্যবহার করে নেটিভ লিকুইডিটি পুল তৈরি করুন। বিভিন্ন স্টেকিং ইভেন্টের জন্য প্রোটোকল-লেভেলে প্রোগ্রামেটিকভাবে লিকুইডিটি সরবরাহ করুন, যাতে টোকেন ইকোনমিক্স এবং লিকুইডিটি সরবরাহের গভীরতা ঘনিষ্ঠভাবে বন্ধনযুক্ত হয়।
প্রসারিত পণ্যের উপর চার্জ করুন, মূল পণ্যের উপর নয়। স্ট্রিং বেট, ডেরিভেটিভস, লিভারেজ—এগুলি প্রাকৃতিকভাবেই চার্জের সুযোগ, এখানে হস্তক্ষেপ করলে ব্যবহারকারীর অভিজ্ঞতার মূল কথাটি ক্ষতিগ্রস্ত হবে না।
বর্তমানে, পলিমার্কেট প্ল্যাটফর্মের ব্যবসায়িক সুরক্ষা এখনও শক্তিশালী করার প্রয়োজন রয়েছে। শূন্য কমিশন এবং ভালো অনুপাত হল এটির প্রচলিত ভিন্নতা প্ল্যাটফর্মগুলি থেকে পার্থক্য করার সবচেয়ে গুরুত্বপূর্ণ মূল্য সংযোগ। সংক্ষিপ্ত মেয়াদের আয়ের জন্য এই দুটি বিষয়কে ত্যাগ করা হল নিজেদের দীর্ঘদিনের সুরক্ষা ধ্বংস করা।
